Официальное опубликование правовых актов
ОФИЦИАЛЬНОЕ ОПУБЛИКОВАНИЕ
Постановление Региональной службы по тарифам и ценам Камчатского края от 20.11.2019 № 255
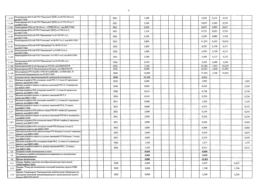
"О внесении изменений в постановление Региональной службы по тарифам и ценам Камчатского края от 26.06.2019 № 144 "Об утверждении инвестиционной программы филиала "Камчатский" АО "Оборонэнерго" на 2020-2022 годы"
Номер опубликования: 4101201911270005
Дата опубликования: 27.11.2019
Страница №7 из 22:
Увеличить