Официальное опубликование правовых актов
ОФИЦИАЛЬНОЕ ОПУБЛИКОВАНИЕ
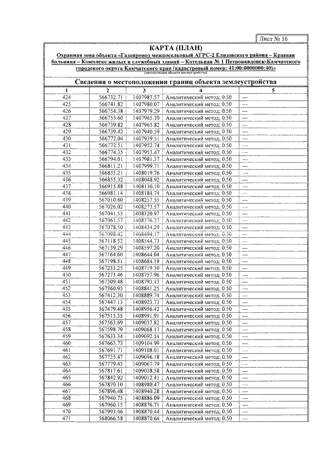
Приказ Министерства имущественных и земельных отношений Камчатского края от 05.02.2020 № 16
"Об утверждении границ охранной зоны объекта "Газопровод межпоселковый АГРС-2 Елизовского района - Краевая больница - Комплекс жилых и служебных зданий - Котельная № 1 Петропавловск­- Камчатского городского округа Камчатского края"
Номер опубликования: 4101202002110001
Дата опубликования: 11.02.2020
Страница №18 из 66:
Увеличить