Официальное опубликование правовых актов
ОФИЦИАЛЬНОЕ ОПУБЛИКОВАНИЕ
Приказ Министерства жилищно-коммунального хозяйства и энергетики Камчатского края от 05.10.2023 № 29-Н
"Об утверждении территориальной схемы обращения с отходами, в том числе с твердыми коммунальными отходами, в Камчатском крае"
(Зарегистрирован 05.10.2023 № 29-Н)
Номер опубликования: 4101202310060005
Дата опубликования: 06.10.2023
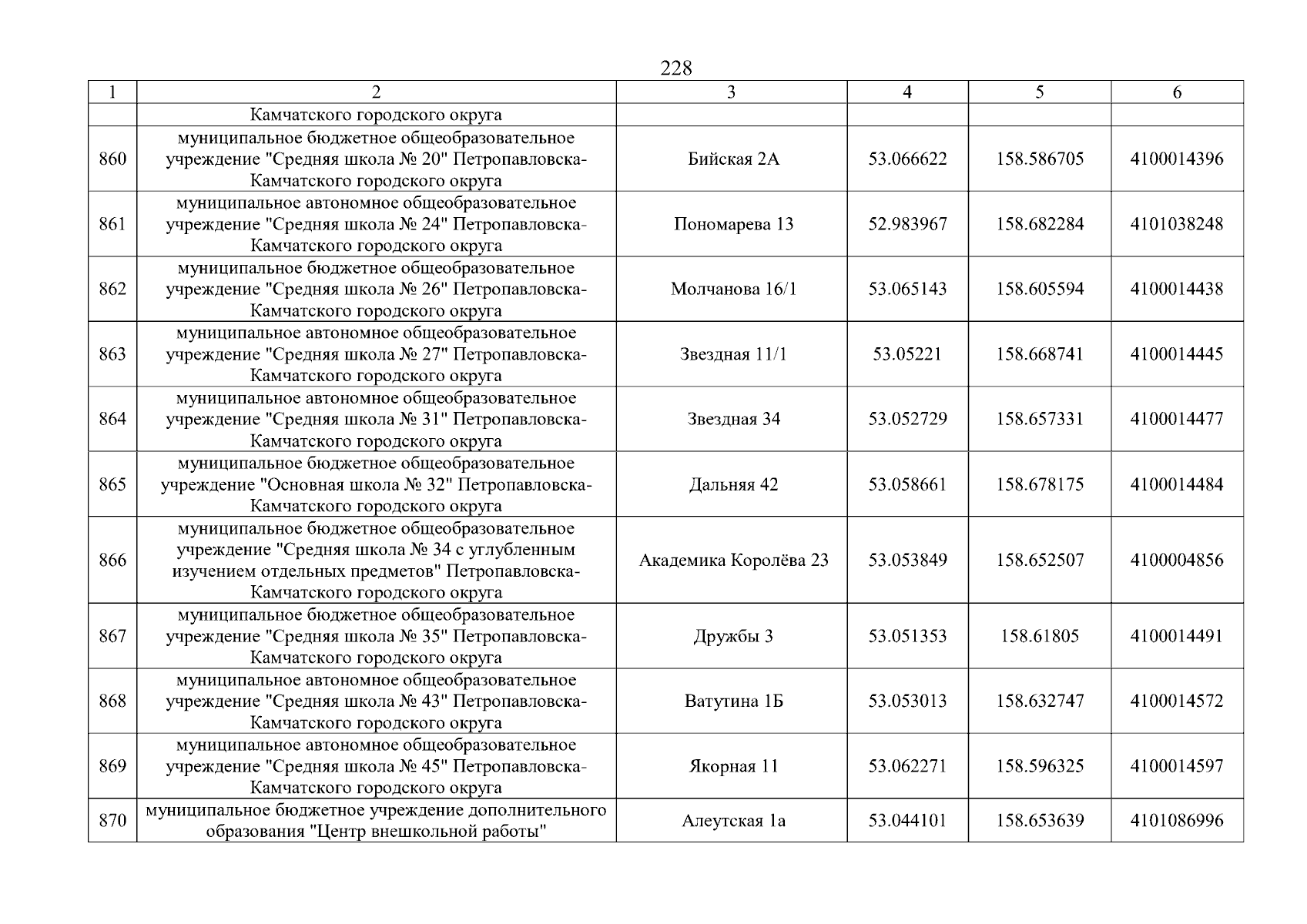
Страница №228 из 2202:
Увеличить