Официальное опубликование правовых актов
ОФИЦИАЛЬНОЕ ОПУБЛИКОВАНИЕ
Приказ Министерства имущественных и земельных отношений Камчатского края от 13.11.2023 № 39-Н
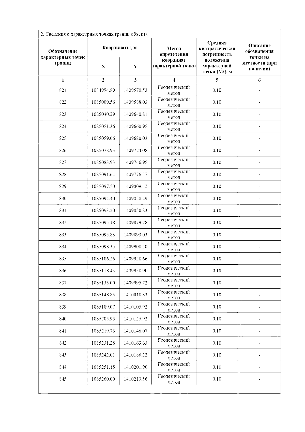
"Об установлении публичного сервитута в целях размещения (строительство, реконструкция, эксплуатация, капитальный ремонт) объектов: линий и сооружений связи (ВОЛС) "Анавгай-Хайрюзово-Тигиль"
(Зарегистрирован 13.11.2023 № 39-Н)
Номер опубликования: 4101202311130012
Дата опубликования: 13.11.2023
Страница №38 из 75:
Увеличить