Официальное опубликование правовых актов
ОФИЦИАЛЬНОЕ ОПУБЛИКОВАНИЕ
Приказ Министерства имущественных и земельных отношений Камчатского края от 10.09.2024 № 74-Н
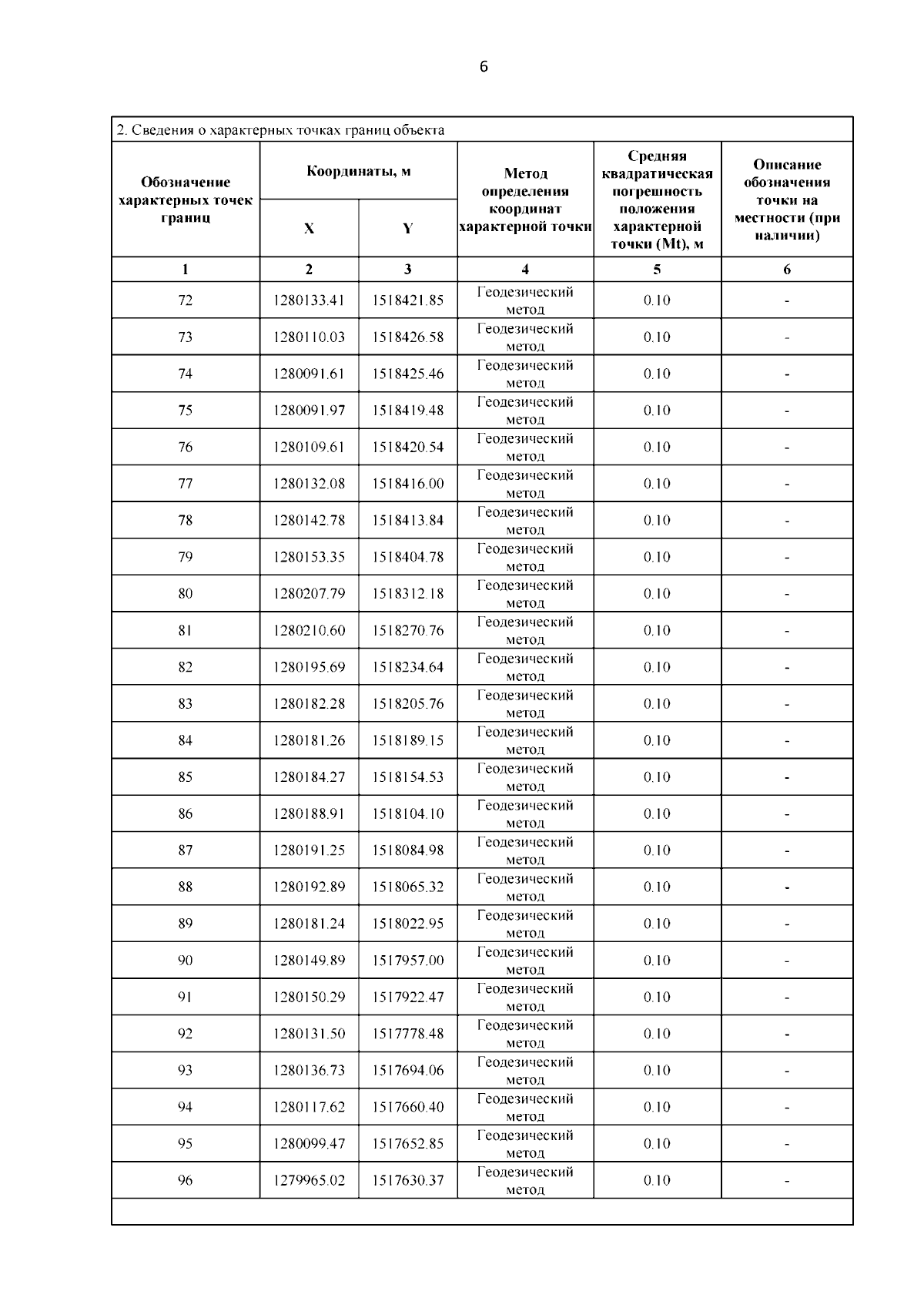
"О внесении изменений в приложение к приказу Министерства имущественных и земельных отношений Камчатского края от 16.04.2024 № 34-Н "Об установлении публичного сервитута в целях размещения линий и сооружений связи - волоконно-оптической линии связи (ВОЛС) "Палана - Лесная"
(Зарегистрирован 10.09.2024 № 74-Н)
Номер опубликования: 4101202409110007
Дата опубликования: 11.09.2024
Страница №6 из 9:
Увеличить