Официальное опубликование правовых актов
ОФИЦИАЛЬНОЕ ОПУБЛИКОВАНИЕ
Приказ Министерства имущественных и земельных отношений Камчатского края от 07.05.2025 № 30-Н
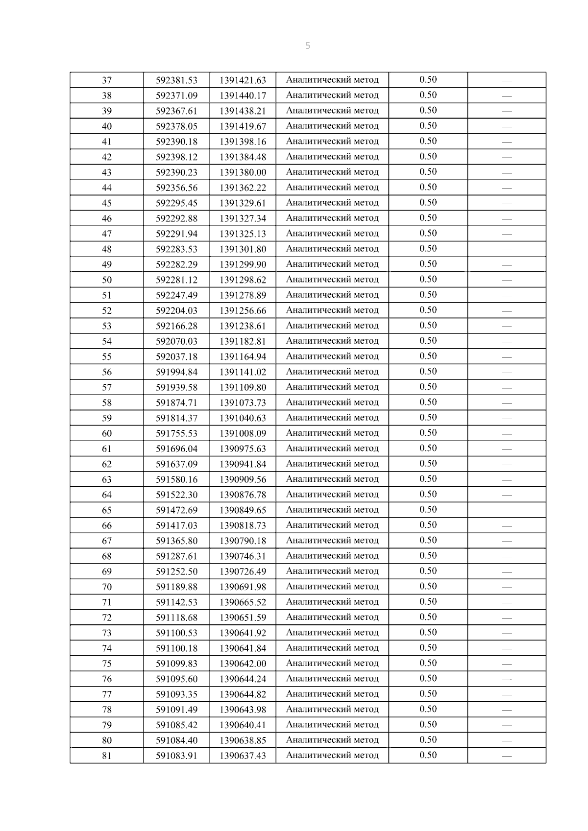
"Об утверждении границ охранной зоны газораспределительной сети объекта "Распределительный газопровод до резидентов площадки "Зеленовские озерки" ТОСЭР "Камчатка"
(Зарегистрирован 07.05.2025 № 30-Н)
Номер опубликования: 4101202505130002
Дата опубликования: 13.05.2025
Страница №5 из 35:
Увеличить