Официальное опубликование правовых актов
ОФИЦИАЛЬНОЕ ОПУБЛИКОВАНИЕ
Приказ Министерства жилищно-коммунального хозяйства и энергетики Камчатского края от 25.12.2025 № 34-Н
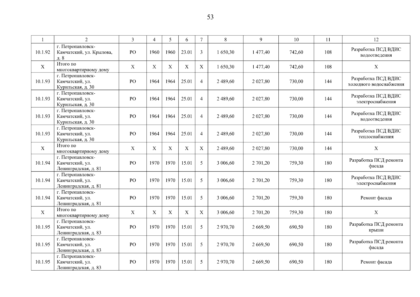
"О внесении изменений в приложения 1 - 2 к приказу Министерства жилищно-коммунального хозяйства и энергетики Камчатского края от 19.08.2022 № 20-304 "Об утверждении краткосрочного плана реализации региональной программы капитального ремонта общего имущества в многоквартирных домах в Камчатском крае на 2023 - 2025 годы"
(Зарегистрирован 25.12.2025 № 34-Н)
Номер опубликования: 4101202512250002
Дата опубликования: 25.12.2025
Страница №53 из 323:
Увеличить