Официальное опубликование правовых актов
ОФИЦИАЛЬНОЕ ОПУБЛИКОВАНИЕ
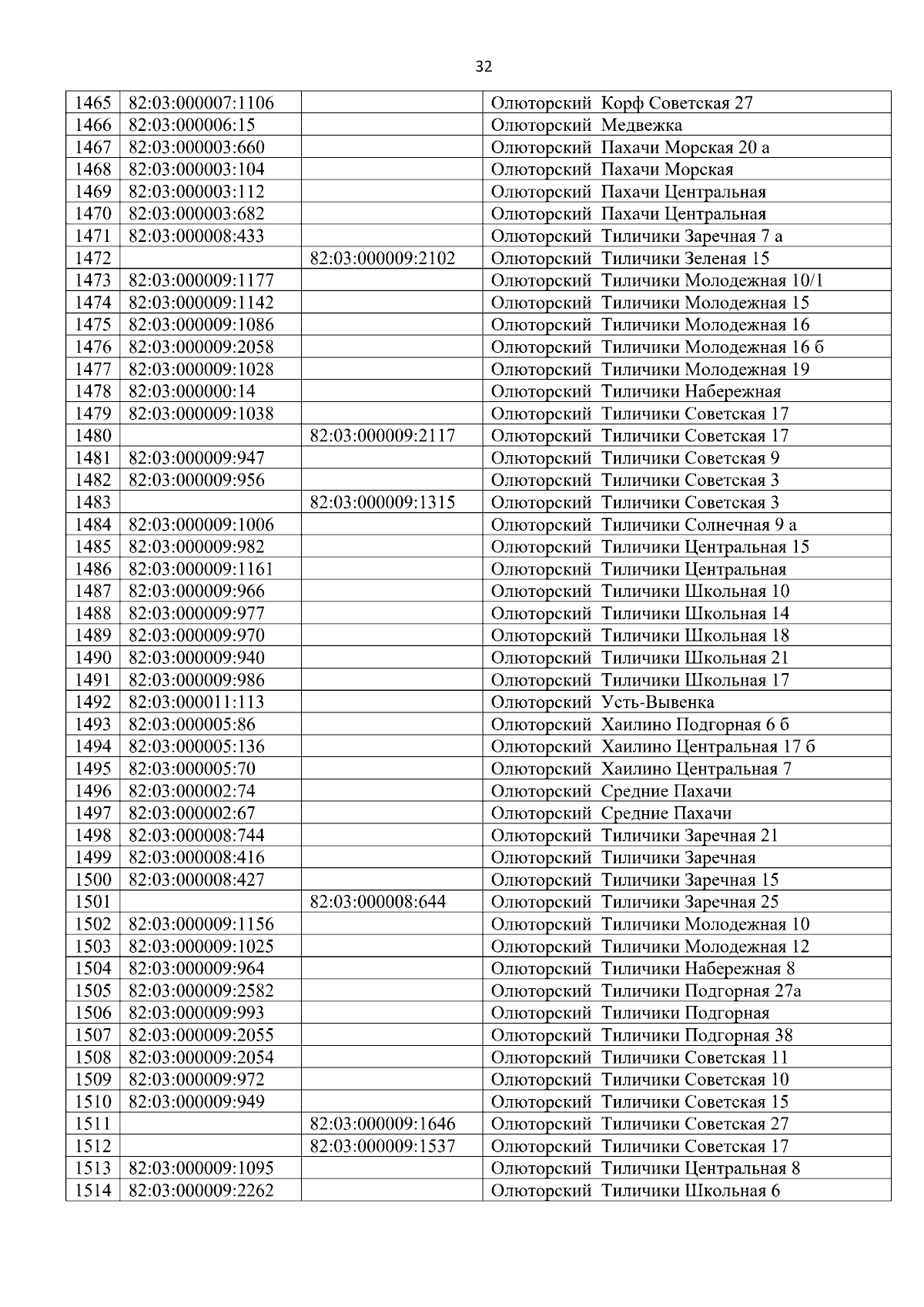
Приказ Министерства имущественных и земельных отношений Камчатского края от 20.02.2026 № 6-Н
"Об определении перечня объектов недвижимого имущества, в отношении которых налоговая база определяется как кадастровая стоимость, на 2026 год"
(Зарегистрирован 20.02.2026 № 6-Н)
Номер опубликования: 4101202602250002
Дата опубликования: 25.02.2026
Страница №32 из 146:
Увеличить