Официальное опубликование правовых актов
ОФИЦИАЛЬНОЕ ОПУБЛИКОВАНИЕ
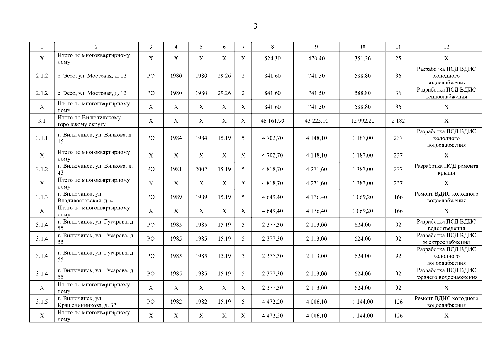
Приказ Министерства строительства и жилищной политики Камчатского края от 27.03.2026 № 5-Н
"Об утверждении краткосрочного плана реализации региональной программы капитального ремонта общего имущества в многоквартирных домах в Камчатском крае на 2026–2028 годы"
(Зарегистрирован 27.03.2026 № 5-Н)
Номер опубликования: 4101202603310015
Дата опубликования: 31.03.2026
Страница №3 из 116:
Увеличить