Официальное опубликование правовых актов
ОФИЦИАЛЬНОЕ ОПУБЛИКОВАНИЕ
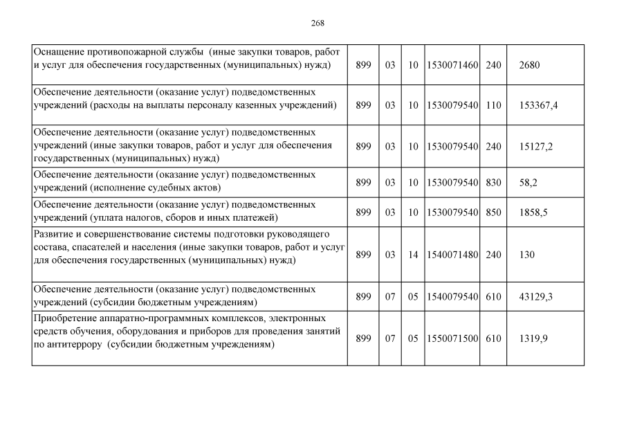
Закон Кемеровской области от 26.02.2016 № 8-ОЗ "О внесении изменений в Закон Кемеровской области "Об областном бюджете на 2016 год"
Номер опубликования: 4200201603010001
Дата опубликования: 01.03.2016
Страница №268 из 358:
Увеличить