Официальное опубликование правовых актов
ОФИЦИАЛЬНОЕ ОПУБЛИКОВАНИЕ
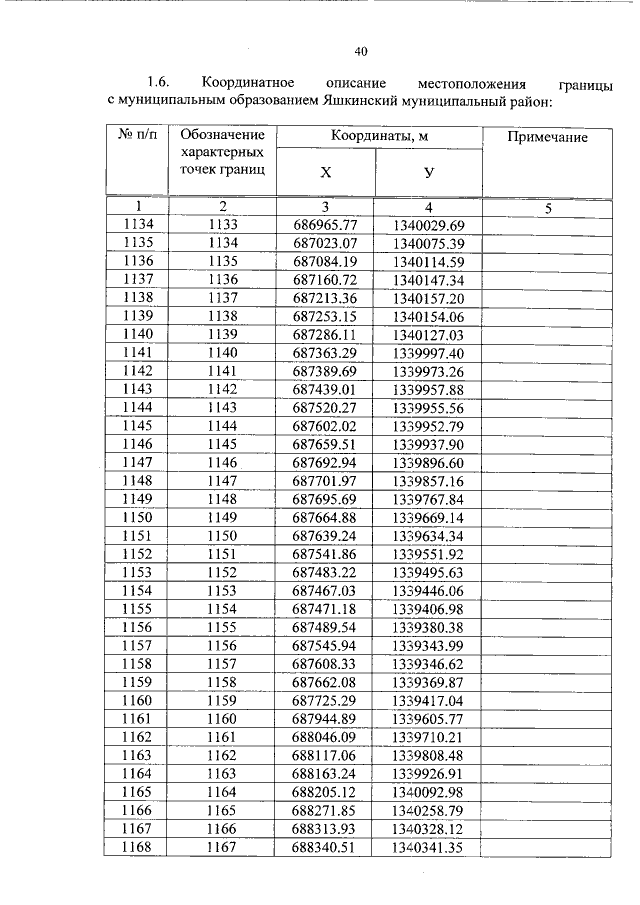
Закон Кемеровской области от 01.03.2017 № 23-ОЗ
"О внесении изменения в приложение 1 к Закону Кемеровской области "О статусе и границах муниципальных образований"
Номер опубликования: 4200201703020003
Дата опубликования: 02.03.2017
Страница №40 из 51:
Увеличить