Официальное опубликование правовых актов
ОФИЦИАЛЬНОЕ ОПУБЛИКОВАНИЕ
Постановление Коллегии Администрации Кемеровской области от 28.03.2017 № 135
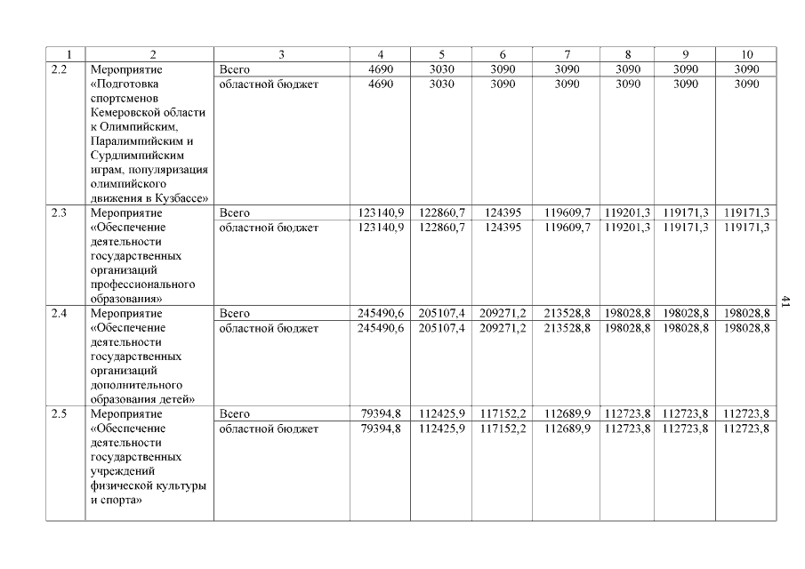
"О внесении изменений в постановление Коллегии Администрации Кемеровской области от 25.10.2013 № 466 "Об утверждении государственной программы Кемеровской области "Молодежь, спорт и туризм Кузбасса" на 2014 - 2020 годы"
Номер опубликования: 4200201704030004
Дата опубликования: 03.04.2017
Страница №41 из 61:
Увеличить