Официальное опубликование правовых актов
ОФИЦИАЛЬНОЕ ОПУБЛИКОВАНИЕ
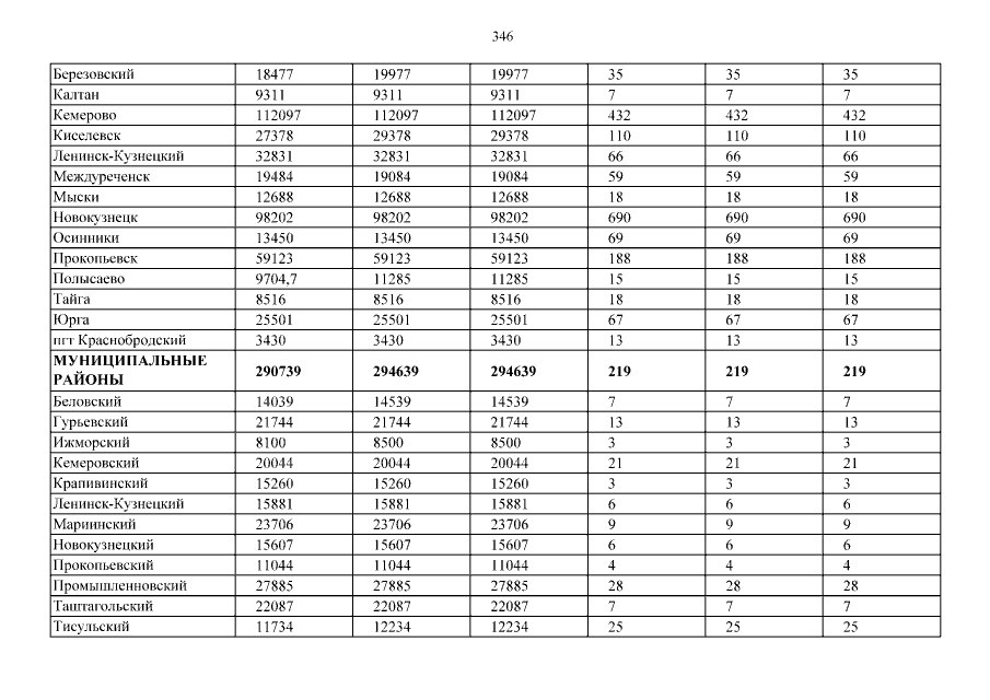
Закон Кемеровской области от 23.06.2017 № 43-ОЗ "О внесении изменений в Закон Кемеровской области "Об областном бюджете на 2017 год и на плановый период 2018 и 2019 годов"
Номер опубликования: 4200201706270002
Дата опубликования: 27.06.2017
Страница №346 из 387:
Увеличить