Официальное опубликование правовых актов
ОФИЦИАЛЬНОЕ ОПУБЛИКОВАНИЕ
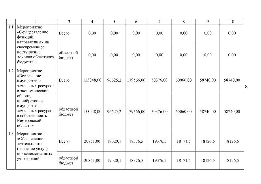
Постановление Коллегии Администрации Кемеровской области от 22.08.2017 № 444
"О внесении изменений в постановление Коллегии Администрации Кемеровской области от 24.10.2013 №454 "Об утверждении государственной программы Кемеровской области "Имущественный комплекс Кузбасса" на 2014 - 2019 годы"
Номер опубликования: 4200201708250003
Дата опубликования: 25.08.2017
Страница №27 из 47:
Увеличить