Официальное опубликование правовых актов
ОФИЦИАЛЬНОЕ ОПУБЛИКОВАНИЕ
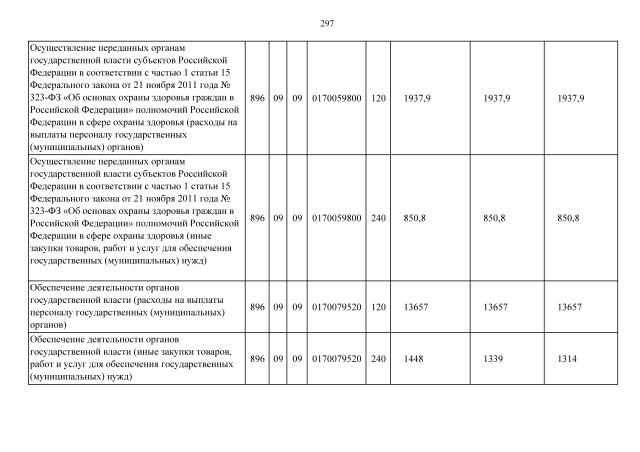
Закон Кемеровской области от 26.09.2017 № 72-ОЗ
"О внесении изменений в Закон Кемеровской области "Об областном бюджете на 2017 годи на плановый период 2018 и 2019 годов"
Номер опубликования: 4200201709270004
Дата опубликования: 27.09.2017
Страница №297 из 419:
Увеличить