Официальное опубликование правовых актов
ОФИЦИАЛЬНОЕ ОПУБЛИКОВАНИЕ
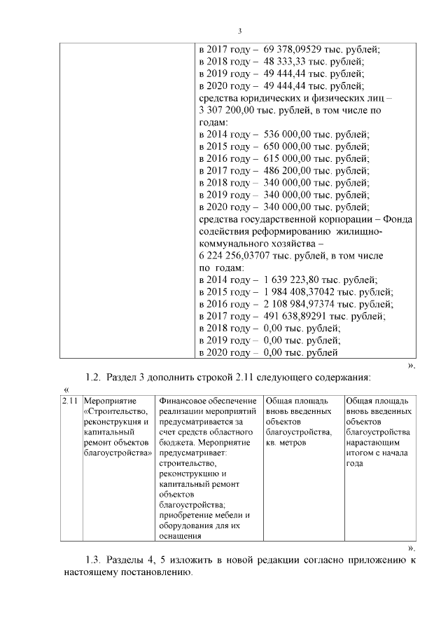
Постановление Коллегии Администрации Кемеровской области от 21.12.2017 № 648
"О внесении изменений в постановление Коллегии Администрации Кемеровской области от 25.10.2013 № 461 "Об утверждении государственной программы Кемеровской области "Жилищная и социальная инфраструктура Кузбасса" на 2014-2020 годы"
Номер опубликования: 4200201712250004
Дата опубликования: 25.12.2017
Страница №3 из 51:
Увеличить