Официальное опубликование правовых актов
ОФИЦИАЛЬНОЕ ОПУБЛИКОВАНИЕ
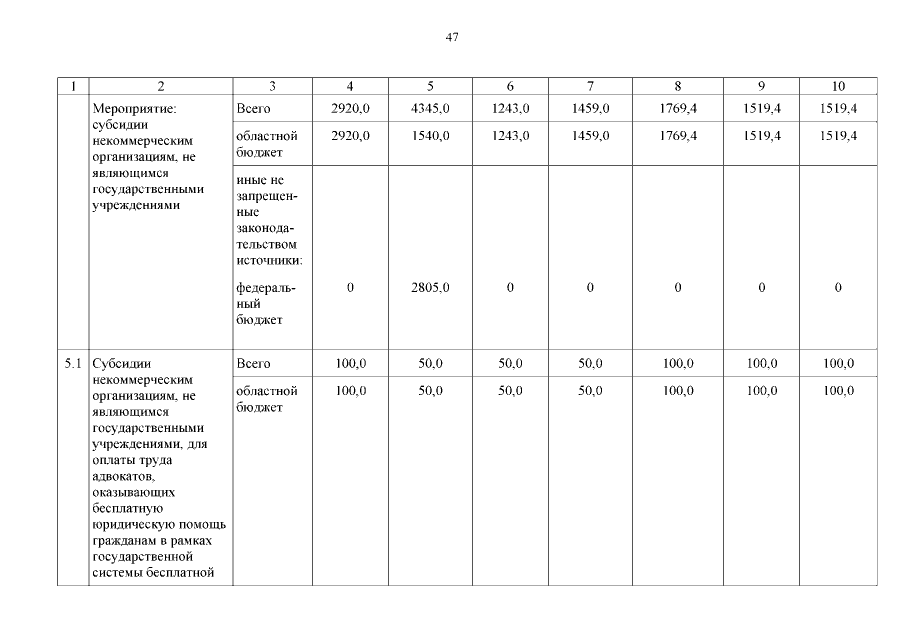
Постановление Коллегии Администрации Кемеровской области от 27.12.2017 № 664
"О внесении изменений в постановление Коллегии Администрации Кемеровской области от 25.10.2013 № 468 "Об утверждении государственной программы Кемеровской области "Социальная поддержка населения Кузбасса" на 2014 - 2020 годы"
Номер опубликования: 4200201712290004
Дата опубликования: 29.12.2017
Страница №47 из 80:
Увеличить