Официальное опубликование правовых актов
ОФИЦИАЛЬНОЕ ОПУБЛИКОВАНИЕ
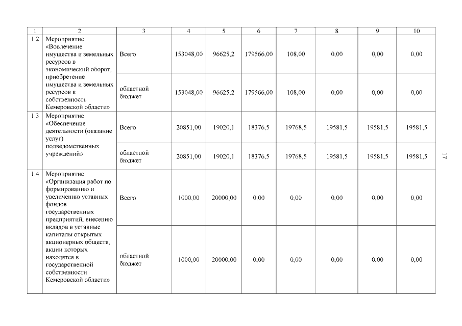
Постановление Коллегии Администрации Кемеровской области от 28.12.2017 № 676
"О внесении изменений в постановление Коллегии Администрации Кемеровской области от 24.10.2013 №454 "Об утверждении государственной программы Кемеровской области "Имущественный комплекс Кузбасса" на 2014 - 2020 годы"
Номер опубликования: 4200201712290027
Дата опубликования: 29.12.2017
Страница №17 из 27:
Увеличить