Официальное опубликование правовых актов
ОФИЦИАЛЬНОЕ ОПУБЛИКОВАНИЕ
Закон Кемеровской области от 28.03.2018 № 12-ОЗ "О внесении изменений в Закон Кемеровской области "Об областном бюджете на 2018 год и на плановый период 2019 и 2020 годов"
Номер опубликования: 4200201803290002
Дата опубликования: 29.03.2018
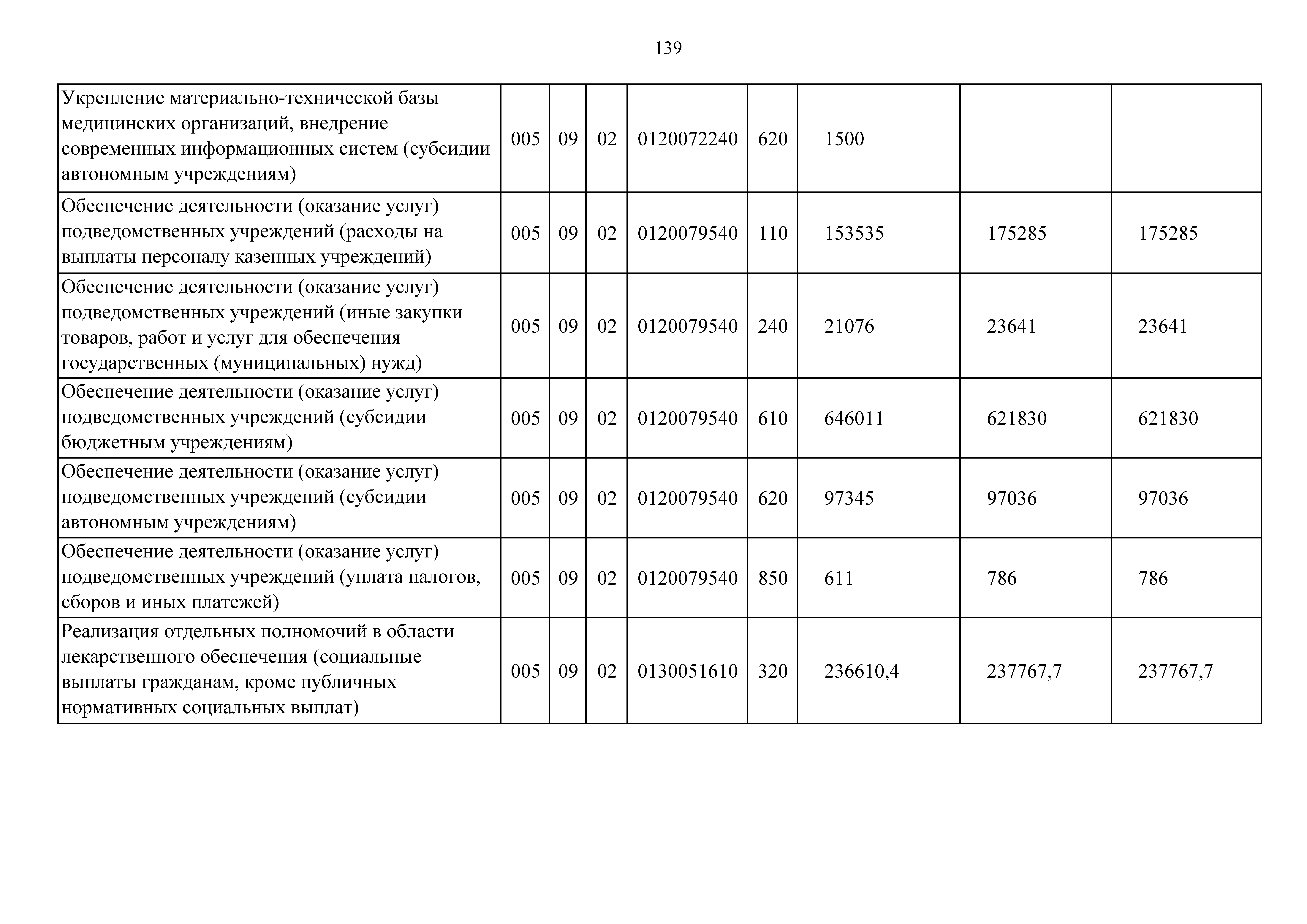
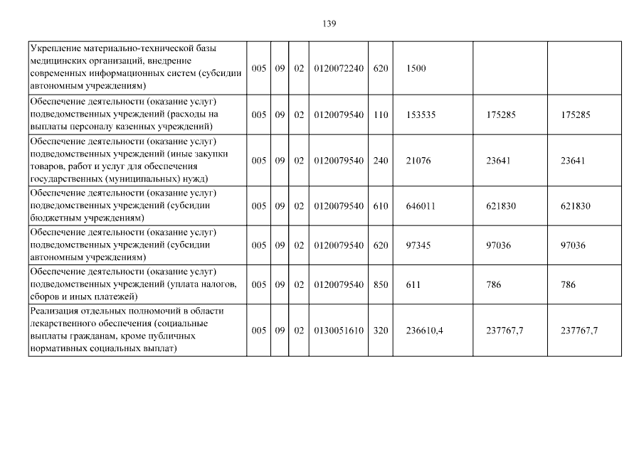
Страница №139 из 279: