Официальное опубликование правовых актов
ОФИЦИАЛЬНОЕ ОПУБЛИКОВАНИЕ
Постановление Коллегии Администрации Кемеровской области от 08.11.2018 № 481
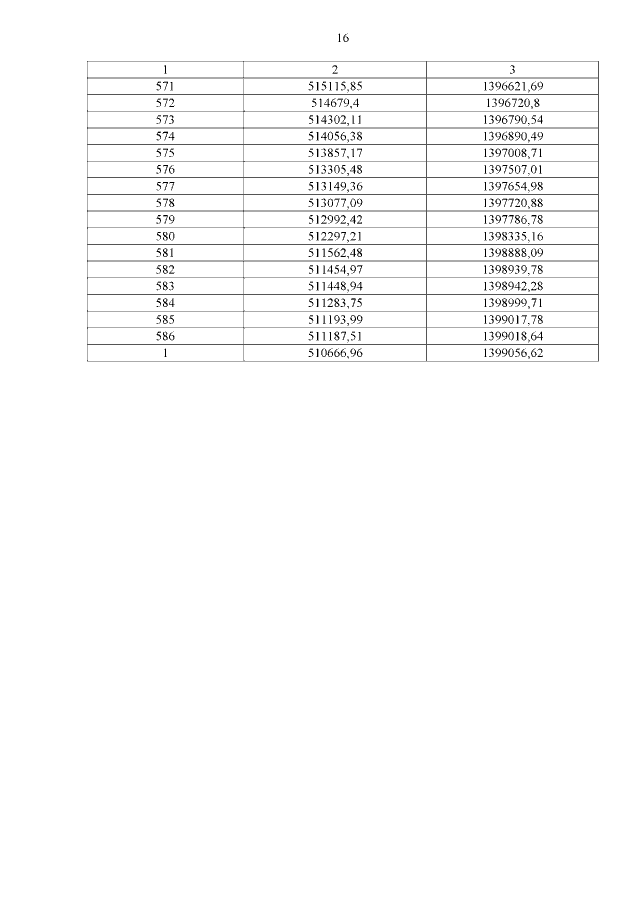
"Об утверждении границ охранной зоны существующей газораспределительной сети "Линейное сооружение - магистральный газопровод "Парабель-Кузбасс" и наложении ограничений (обременений) на входящие в нее земельные участки"
Номер опубликования: 4200201811120002
Дата опубликования: 12.11.2018
Страница №16 из 16:
Увеличить