Официальное опубликование правовых актов
ОФИЦИАЛЬНОЕ ОПУБЛИКОВАНИЕ
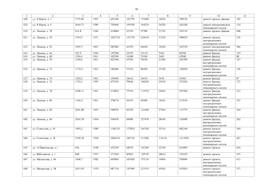
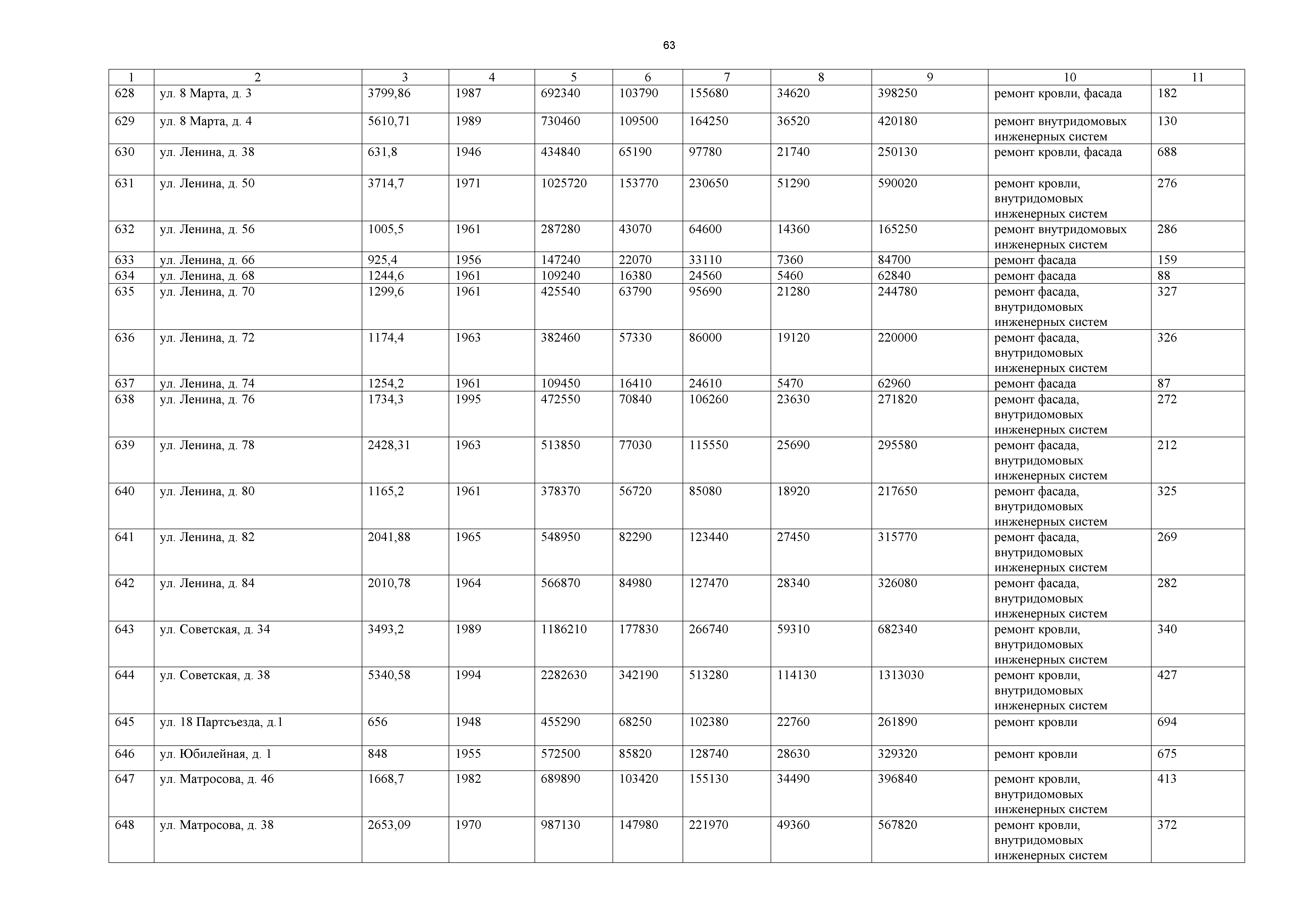
Постановление Коллегии Администрации Кемеровской области от 08.11.2018 № 476
"О внесении изменений в постановление Коллегии Администрации Кемеровской области от 09.10.2017 № 524 "Об итогах реализации региональной адресной программы капитального ремонта жилищного фонда на 2008 год"
Номер опубликования: 4200201811120004
Дата опубликования: 12.11.2018
Страница №63 из 70: