Официальное опубликование правовых актов
ОФИЦИАЛЬНОЕ ОПУБЛИКОВАНИЕ
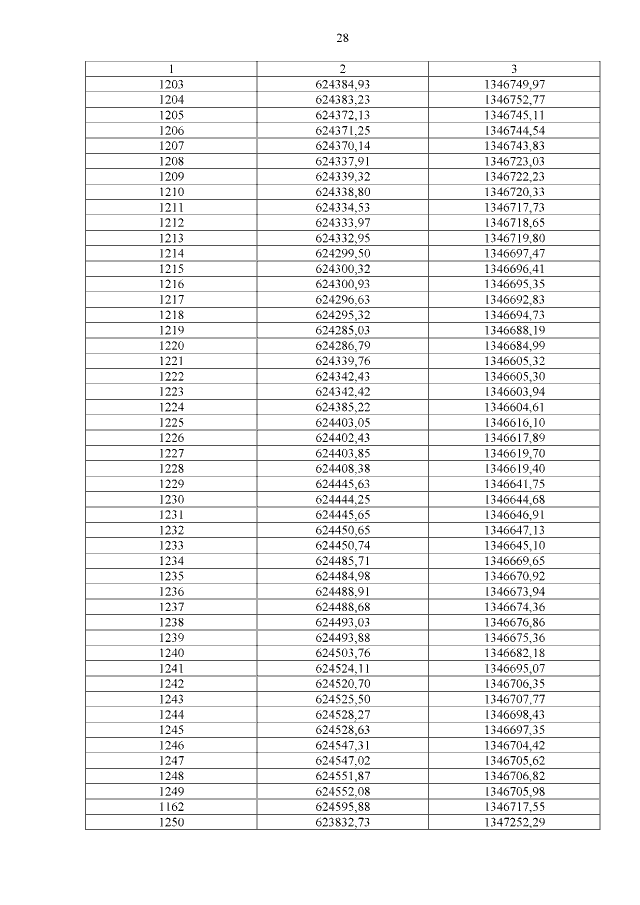
Постановление Коллегии Администрации Кемеровской области от 18.01.2019 № 19
"Об утверждении границ охранной зоны существующей газораспределительной сети "Внутрипоселковый газопровод д. Сухово Кемеровского района Кемеровской области" и наложении ограничений (обременений) на входящие в нее земельные участки"
Номер опубликования: 4200201901230001
Дата опубликования: 23.01.2019
Страница №28 из 30:
Увеличить