Официальное опубликование правовых актов
ОФИЦИАЛЬНОЕ ОПУБЛИКОВАНИЕ
Постановление Коллегии Администрации Кемеровской области от 05.02.2019 № 54
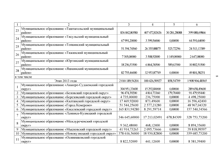
"О внесении изменений в постановление Коллегии Администрации Кемеровской области от 12.04.2013 №160 "Об утверждении региональной адресной программы "Переселение граждан из многоквартирных домов, признанных до 1 января 2012 г. в установленном порядке аварийными и подлежащими сносу" на 2013 - 2017 годы"
Номер опубликования: 4200201902080003
Дата опубликования: 08.02.2019
Страница №8 из 104:
Увеличить