Официальное опубликование правовых актов
ОФИЦИАЛЬНОЕ ОПУБЛИКОВАНИЕ
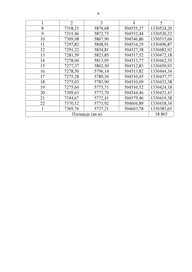
Постановление Правительства Кемеровской области - Кузбасса от 10.06.2019 № 366
"О внесении изменений в постановление Коллегии Администрации Кемеровской области от 26.11.2010 № 522 "Об утверждении границ зон охраны объекта культурного наследия регионального значения "Двухэтажное каменное здание 1909 г. в неорусском стиле, бывшая лавка Ермолаева, ныне краеведческий музей", расположенного по адресу: г. Гурьевск, ул. Коммунистическая, д. 2, режимов использования земель и градостроительных регламентов в границах данных зон"
Номер опубликования: 4200201906170001
Дата опубликования: 17.06.2019
Страница №9 из 15:
Увеличить