Официальное опубликование правовых актов
ОФИЦИАЛЬНОЕ ОПУБЛИКОВАНИЕ
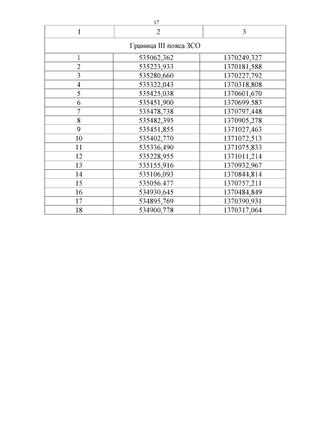
Постановление Правительства Кемеровской области - Кузбасса от 27.06.2019 № 387
"Об установлении границ зон санитарной охраны источников питьевого и хозяйственно-бытового водоснабжения (водозаборных скважин) и о внесении изменения в постановление Коллегии Администрации Кемеровской области от 29.04.2019 № 272 "Об установлении границ зон санитарной охраны источников питьевого и хозяйственно-бытового водоснабжения (водозаборных скважин)"
Номер опубликования: 4200201907010005
Дата опубликования: 01.07.2019
Страница №17 из 19:
Увеличить