Официальное опубликование правовых актов
ОФИЦИАЛЬНОЕ ОПУБЛИКОВАНИЕ
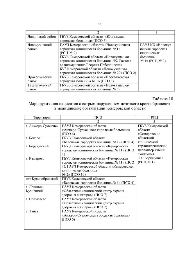
Постановление Правительства Кемеровской области - Кузбасса от 27.06.2019 № 384
"Об утверждении региональной программы "Борьба с сердечно-сосудистыми заболеваниями на 2019 – 2024 годы"
Номер опубликования: 4200201907020002
Дата опубликования: 02.07.2019
Страница №35 из 172:
Увеличить