Постановление Правительства Кемеровской области - Кузбасса от 11.09.2019 № 521
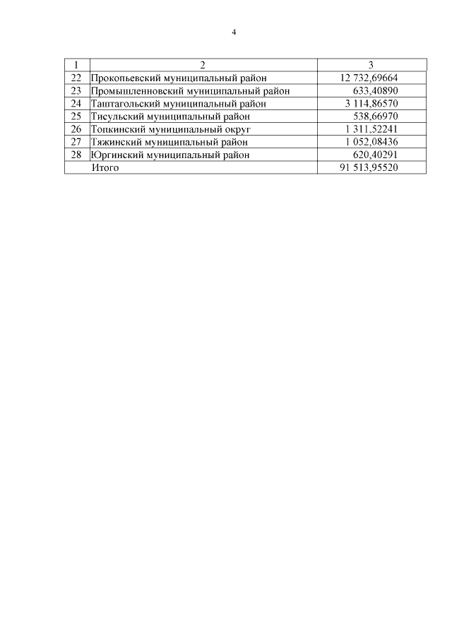
"О внесении изменения в постановление Правительства Кемеровской области – Кузбасса от 11.04.2019 № 227 "О распределении субсидий бюджетам муниципальных образований Кемеровской области, выделенных из средств федерального и областного бюджетов на реализацию мероприятия "Реализация мероприятий по обеспечению жильем молодых семей" подпрограммы "Доступное и комфортное жилье населению Кемеровской области" государственной программы Кемеровской области "Жилищная и социальная инфраструктура Кузбасса" на 2014-2021 годы в 2019 году"
"О внесении изменения в постановление Правительства Кемеровской области – Кузбасса от 11.04.2019 № 227 "О распределении субсидий бюджетам муниципальных образований Кемеровской области, выделенных из средств федерального и областного бюджетов на реализацию мероприятия "Реализация мероприятий по обеспечению жильем молодых семей" подпрограммы "Доступное и комфортное жилье населению Кемеровской области" государственной программы Кемеровской области "Жилищная и социальная инфраструктура Кузбасса" на 2014-2021 годы в 2019 году"
Номер опубликования: 4200201909130010
Дата опубликования:
13.09.2019
