Официальное опубликование правовых актов
ОФИЦИАЛЬНОЕ ОПУБЛИКОВАНИЕ
Постановление Правительства Кемеровской области - Кузбасса от 26.09.2019 № 549
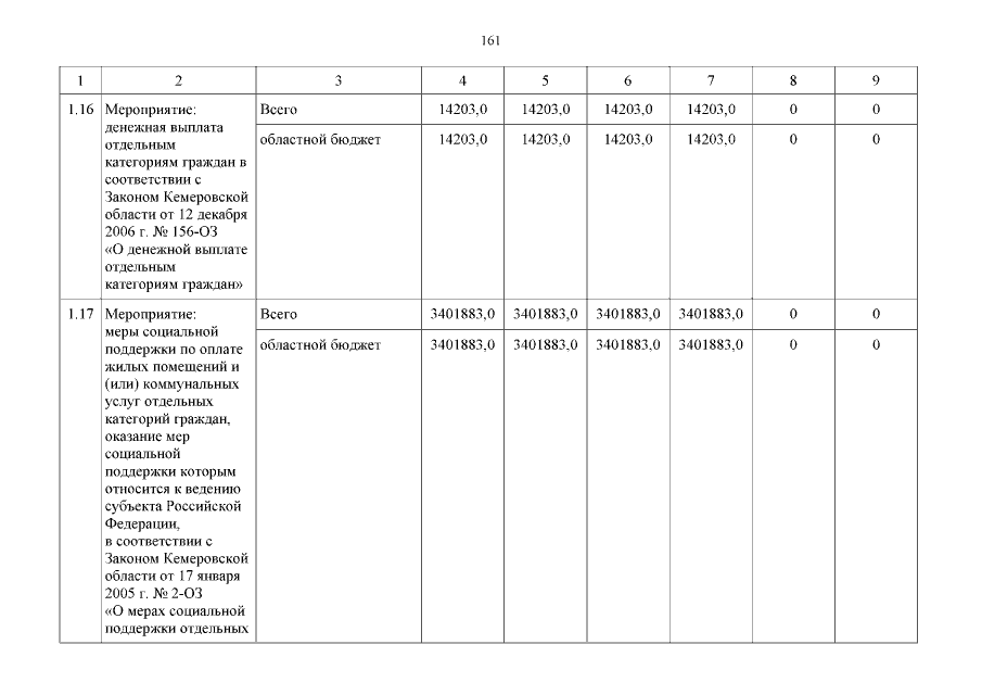
"О внесении изменений в постановление Коллегии Администрации Кемеровской области от 25.10.2013 № 468 "Об утверждении государственной программы Кемеровской области "Социальная поддержка населения Кузбасса" на 2014 - 2021 годы"
Номер опубликования: 4200201909300003
Дата опубликования: 30.09.2019
Страница №161 из 272:
Увеличить