Официальное опубликование правовых актов
ОФИЦИАЛЬНОЕ ОПУБЛИКОВАНИЕ
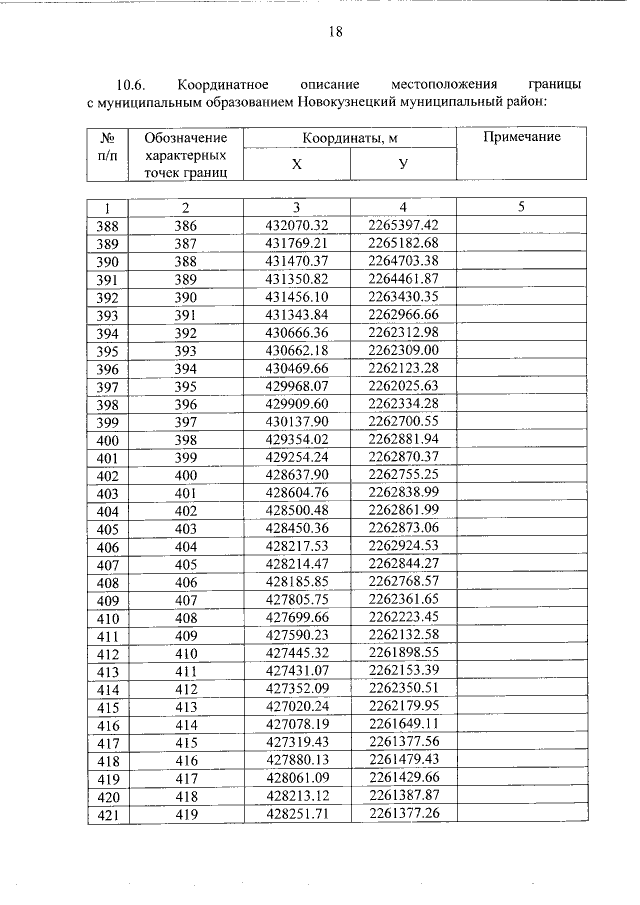
Закон Кемеровской области от 03.10.2019 № 96-ОЗ
"О внесении изменений в Закон Кемеровской области "О статусе и границах муниципальных образований"
Номер опубликования: 4200201910070009
Дата опубликования: 07.10.2019
Страница №18 из 39:
Увеличить