Официальное опубликование правовых актов
ОФИЦИАЛЬНОЕ ОПУБЛИКОВАНИЕ
Постановление Правительства Кемеровской области - Кузбасса от 11.10.2019 № 598
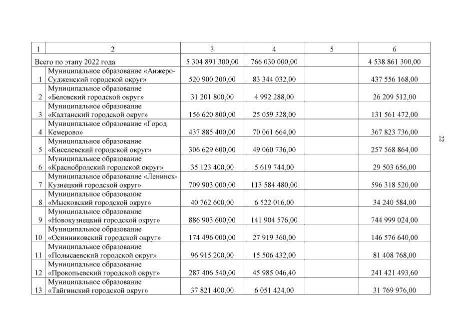
"О внесении изменения в постановление Коллегии Администрации Кемеровской области от 29.03.2019 № 199 "Об утверждении региональной адресной программы "Переселение граждан из многоквартирных домов, признанных до 01.01.2017 в установленном порядке аварийными и подлежащими сносу или реконструкции" на 2019 - 2025 годы"
Номер опубликования: 4200201910150002
Дата опубликования: 15.10.2019
Страница №22 из 145:
Увеличить