Официальное опубликование правовых актов
ОФИЦИАЛЬНОЕ ОПУБЛИКОВАНИЕ
Постановление Правительства Кемеровской области - Кузбасса от 28.10.2019 № 626
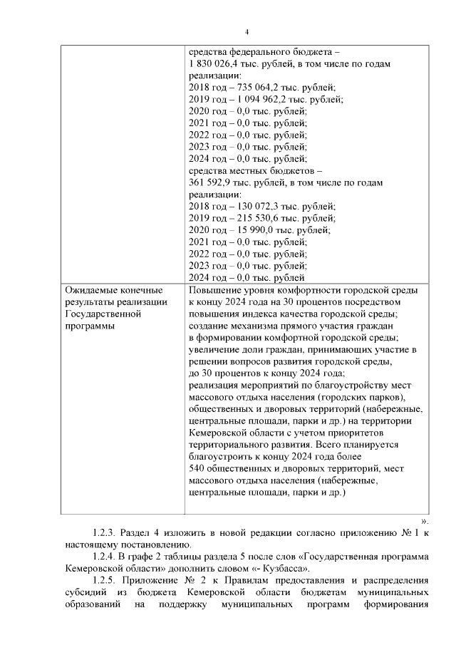
"О внесении изменений в постановление Коллегии Администрации Кемеровской области от 06.09.2017 № 471 "Об утверждении государственной программы Кемеровской области "Формирование современной городской среды Кузбасса" на 2018-2024 годы"
Номер опубликования: 4200201910300008
Дата опубликования: 30.10.2019
Страница №4 из 102:
Увеличить