Официальное опубликование правовых актов
ОФИЦИАЛЬНОЕ ОПУБЛИКОВАНИЕ
Закон Кемеровской области от 30.10.2019 № 112-ОЗ "О преобразовании муниципальных образований, входящих в состав Гурьевского муниципального района"
Номер опубликования: 4200201911050002
Дата опубликования: 05.11.2019
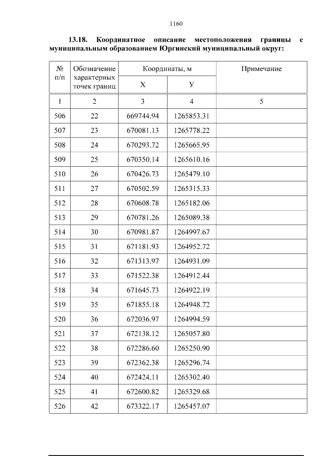
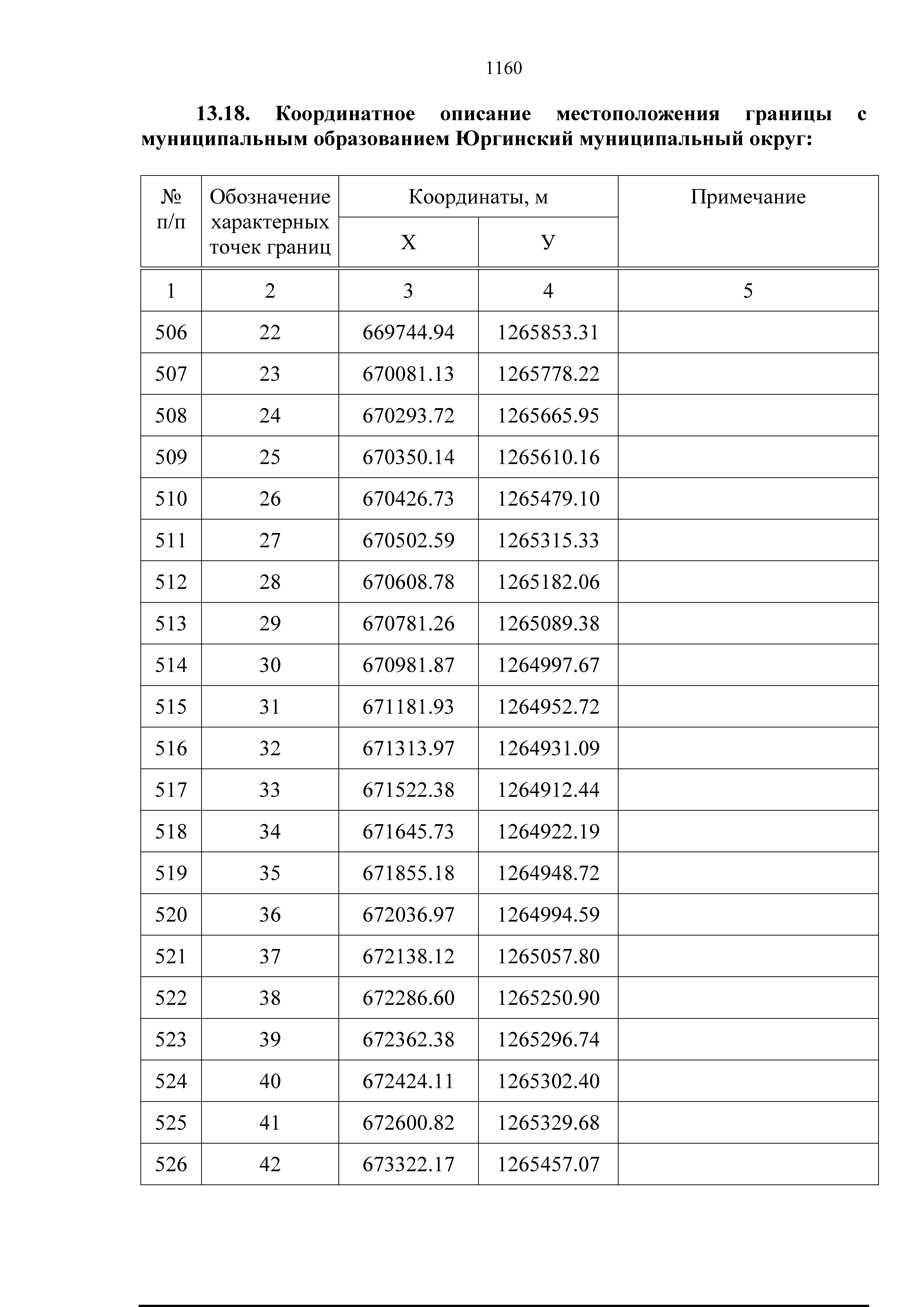
Страница №1160 из 1207: