Официальное опубликование правовых актов
ОФИЦИАЛЬНОЕ ОПУБЛИКОВАНИЕ
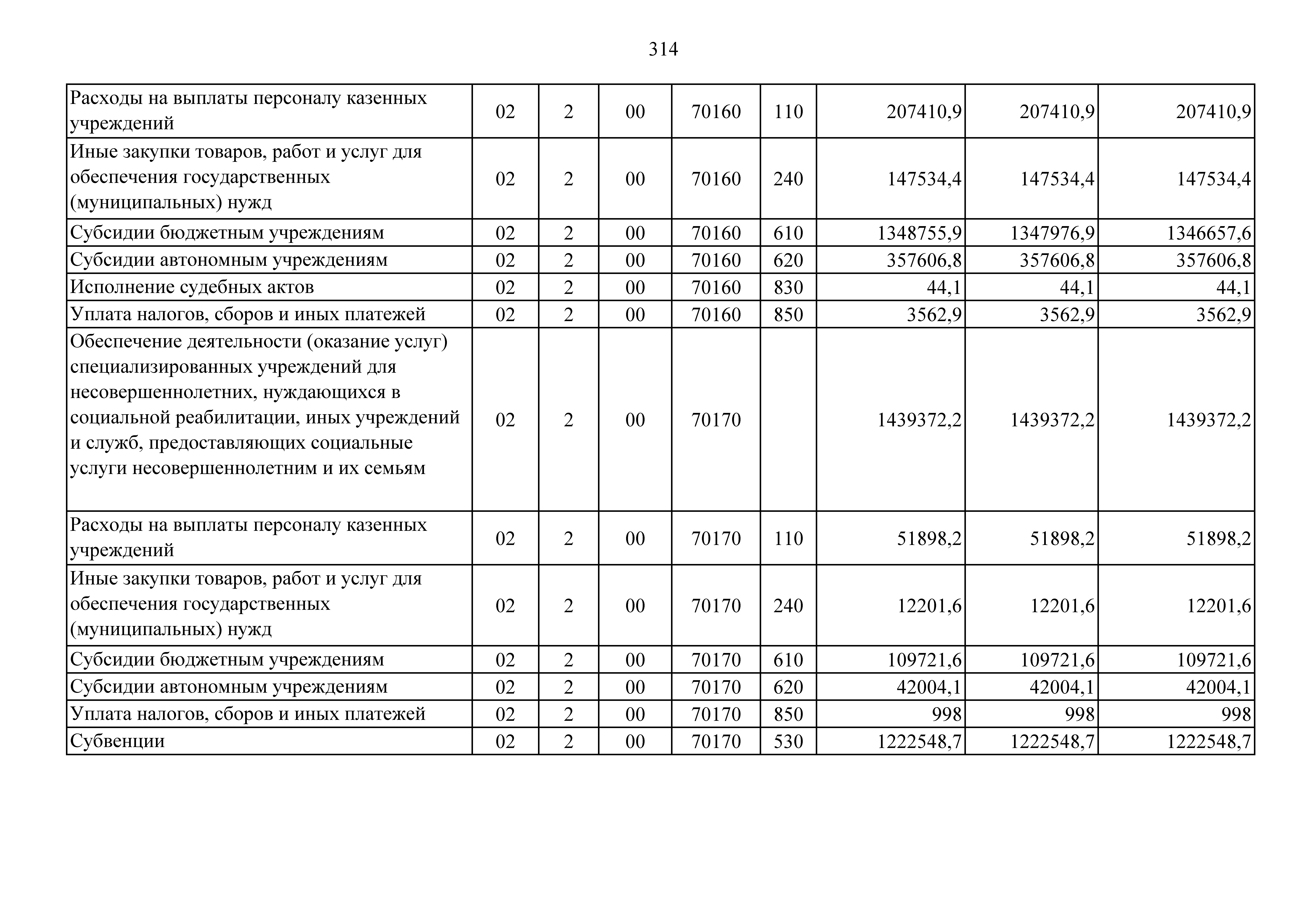
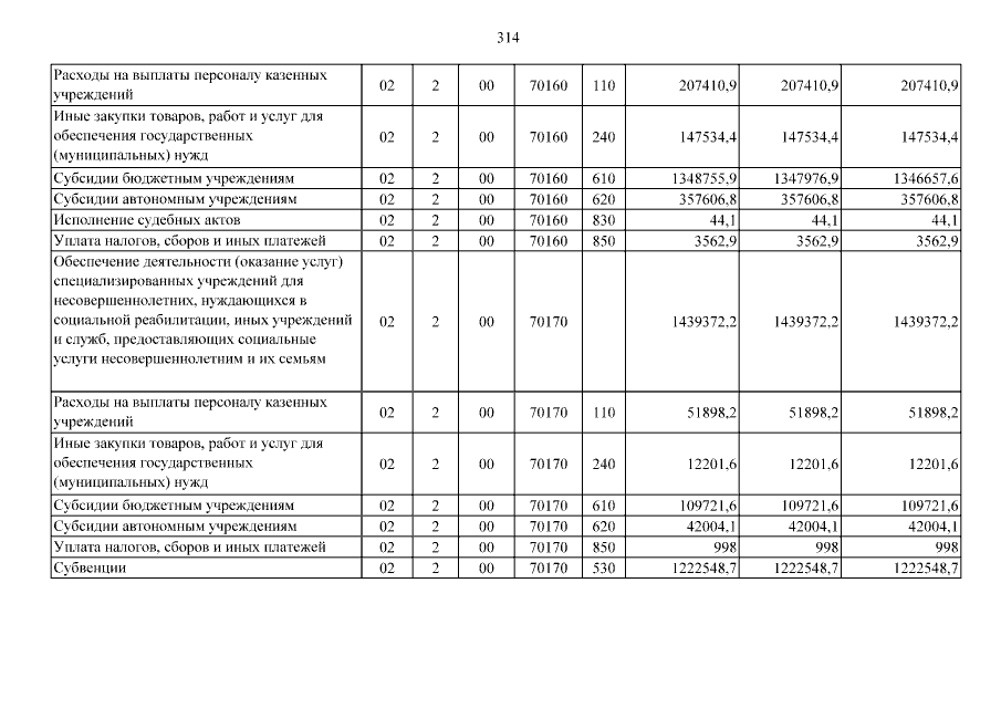
Закон Кемеровской области - Кузбасса от 11.12.2019 № 137-ОЗ
"Об областном бюджете на 2020 год и на плановый период 2021 и 2022 годов"
Номер опубликования: 4200201912120001
Дата опубликования: 12.12.2019
Страница №314 из 871: