Официальное опубликование правовых актов
ОФИЦИАЛЬНОЕ ОПУБЛИКОВАНИЕ
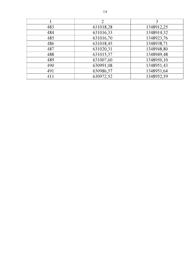
Постановление Правительства Кемеровской области - Кузбасса от 25.12.2019 № 751
"О внесении изменения в постановление Правительства Кемеровской области - Кузбасса от 04.10.2019 № 575 "Об утверждении границ охранной зоны существующей газораспределительной сети "Сооружение" и наложении ограничений (обременений) на входящие в нее земельные участки"
Номер опубликования: 4200201912270029
Дата опубликования: 27.12.2019
Страница №14 из 14:
Увеличить