Официальное опубликование правовых актов
ОФИЦИАЛЬНОЕ ОПУБЛИКОВАНИЕ
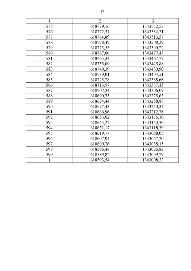
Постановление Правительства Кемеровской области - Кузбасса от 25.12.2019 № 752
"Об утверждении границ охранной зоны существующей газораспределительной сети "Сооружение" и наложении ограничений (обременений) на входящие в нее земельные участки"
Номер опубликования: 4200201912270032
Дата опубликования: 27.12.2019
Страница №17 из 17:
Увеличить