Официальное опубликование правовых актов
ОФИЦИАЛЬНОЕ ОПУБЛИКОВАНИЕ
Постановление Правительства Кемеровской области - Кузбасса от 17.01.2020 № 14
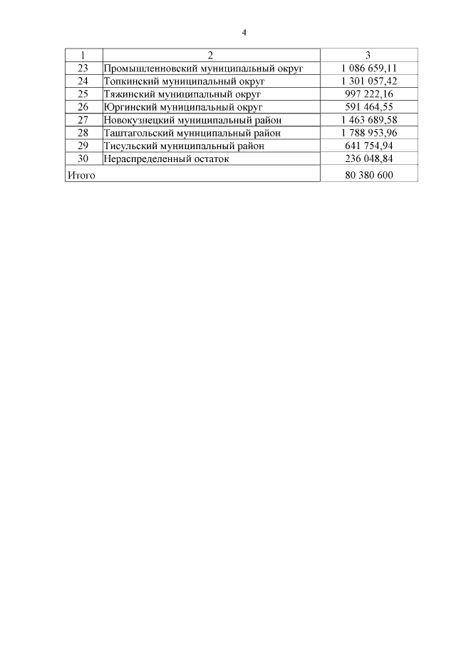
"О распределении субсидий бюджетам муниципальных образований Кемеровской области - Кузбасса, выделенных из средств федерального и областного бюджетов на реализацию мероприятия "Реализация мероприятий по обеспечению жильем молодых семей" подпрограммы "Доступное и комфортное жилье населению Кемеровской области" государственной программы Кемеровской области - Кузбасса "Жилищная и социальная инфраструктура Кузбасса" на 2014 - 2024 годы в 2020 году"
Номер опубликования: 4200202001230001
Дата опубликования: 23.01.2020
Страница №4 из 4:
Увеличить