Официальное опубликование правовых актов
ОФИЦИАЛЬНОЕ ОПУБЛИКОВАНИЕ
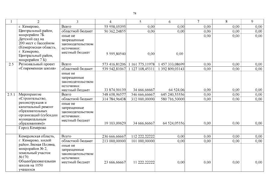
Постановление Правительства Кемеровской области - Кузбасса от 12.03.2020 № 122
"О внесении изменений в постановление Коллегии Администрации Кемеровской области от 25.10.2013 № 461 "Об утверждении государственной программы Кемеровской области - Кузбасса "Жилищная и социальная инфраструктура Кузбасса" на 2014-2024 годы"
Номер опубликования: 4200202003160004
Дата опубликования: 16.03.2020
Страница №78 из 142:
Увеличить