Официальное опубликование правовых актов
ОФИЦИАЛЬНОЕ ОПУБЛИКОВАНИЕ
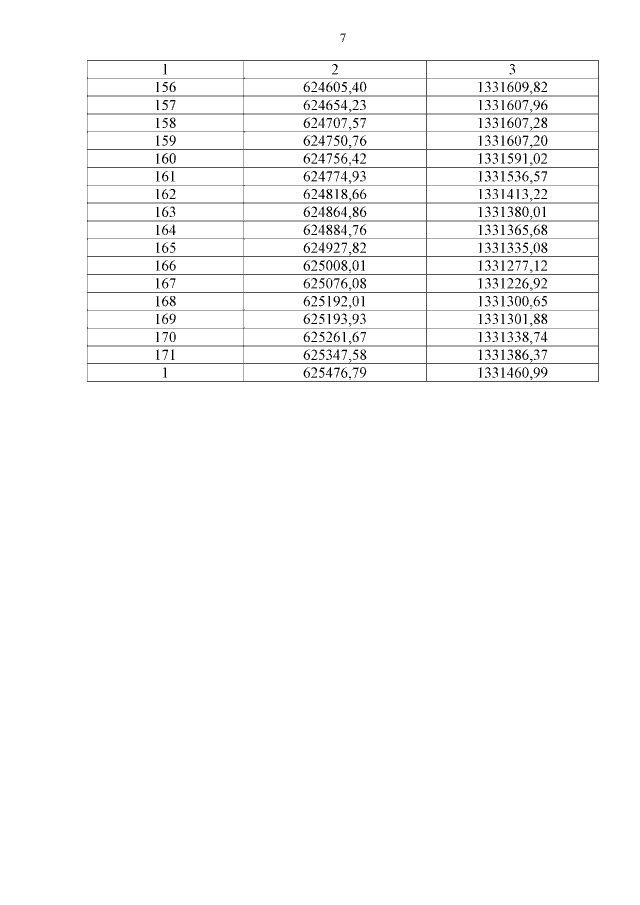
Постановление Правительства Кемеровской области - Кузбасса от 08.04.2020 № 218
"Об утверждении границ охранной зоны существующей газораспределительной сети "Газопровод высокого давления" и наложении ограничений (обременений) на входящие в нее земельные участки"
Номер опубликования: 4200202004130005
Дата опубликования: 13.04.2020
Страница №7 из 7:
Увеличить