Официальное опубликование правовых актов
ОФИЦИАЛЬНОЕ ОПУБЛИКОВАНИЕ
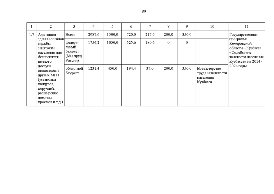
Постановление Правительства Кемеровской области - Кузбасса от 18.05.2020 № 295
"О внесении изменений в постановление Коллегии Администрации Кемеровской области от 27.05.2016 № 196 "Об утверждении комплексной программы "Доступная среда в Кемеровской области" на 2016 - 2020 годы"
Номер опубликования: 4200202005220004
Дата опубликования: 22.05.2020
Страница №80 из 168:
Увеличить