Официальное опубликование правовых актов
ОФИЦИАЛЬНОЕ ОПУБЛИКОВАНИЕ
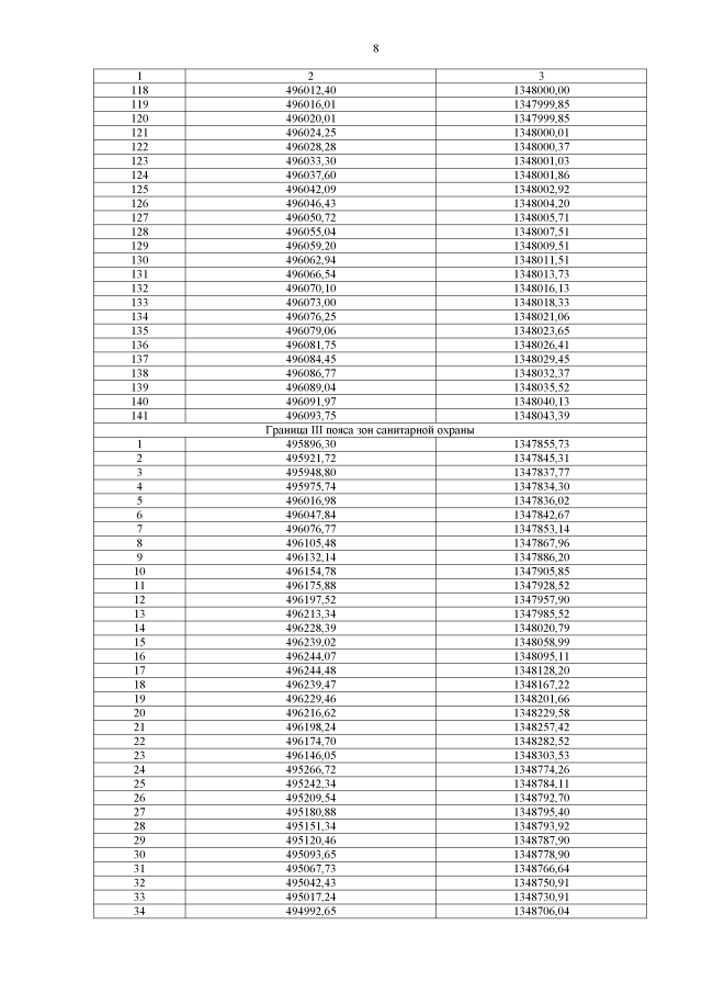
Постановление Правительства Кемеровской области - Кузбасса от 18.06.2020 № 352
"Об установлении границ зон санитарной охраны источников питьевого и хозяйственно-бытового водоснабжения (водозаборных скважин)"
Номер опубликования: 4200202006230002
Дата опубликования: 23.06.2020
Страница №8 из 24:
Увеличить