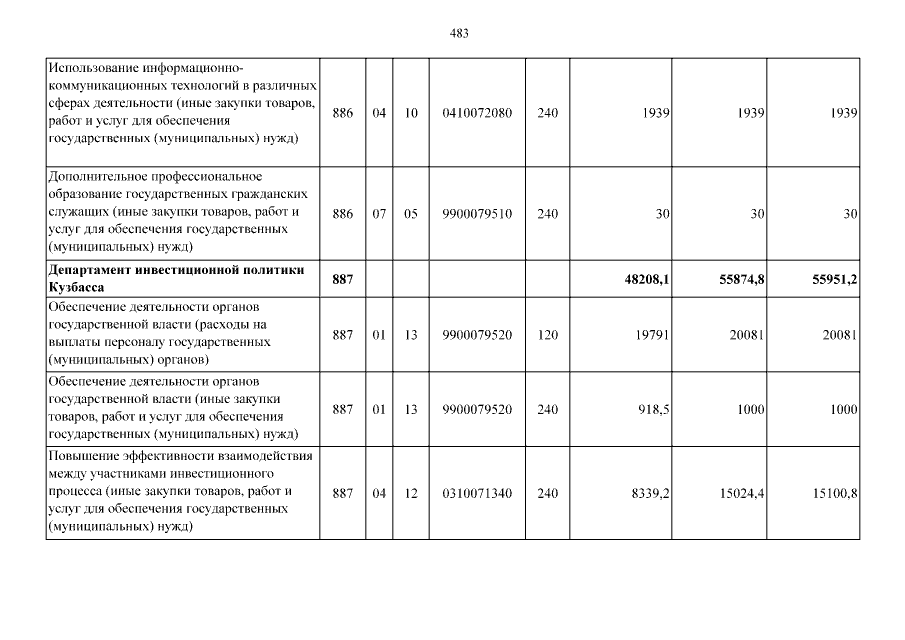
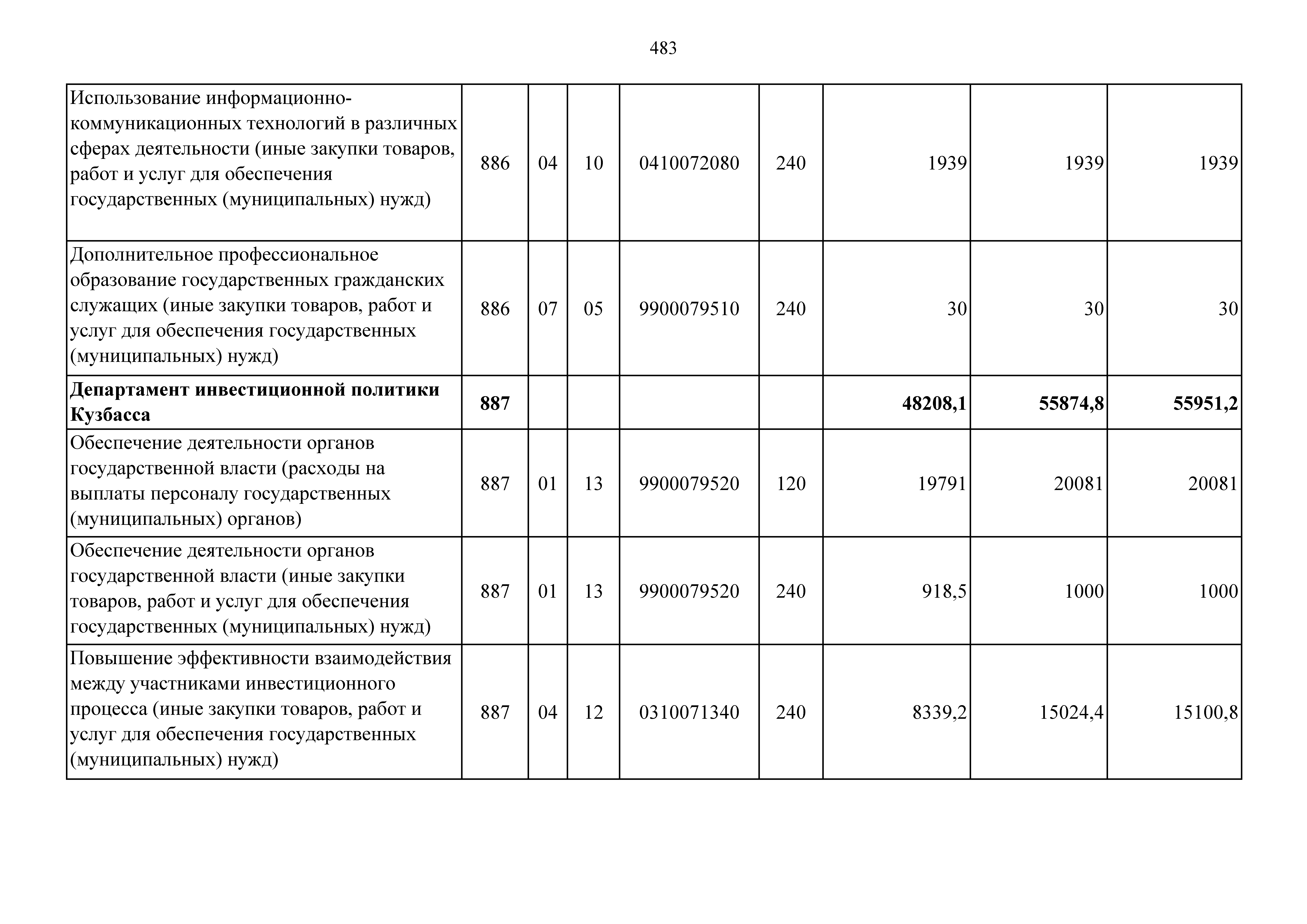
Закон Кемеровской области - Кузбасса от 23.06.2020 № 65-ОЗ "О внесении изменений в Закон Кемеровской области – Кузбасса "Об областном бюджете на 2020 год и на плановый период 2021 и 2022 годов"
Номер опубликования: 4200202006300002
Дата опубликования:
30.06.2020
