Официальное опубликование правовых актов
ОФИЦИАЛЬНОЕ ОПУБЛИКОВАНИЕ
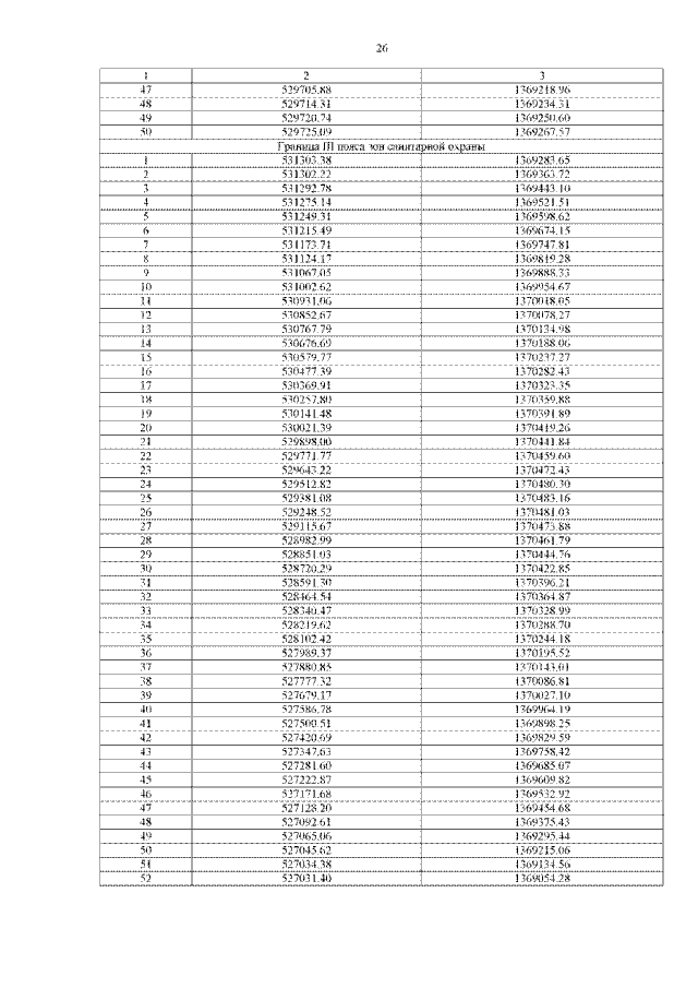
Постановление Правительства Кемеровской области - Кузбасса от 17.07.2020 № 425
"Об установлении границ зон санитарной охраны источников питьевого и хозяйственно-бытового водоснабжения (водозаборных скважин)"
Номер опубликования: 4200202007210003
Дата опубликования: 21.07.2020
Страница №26 из 180:
Увеличить