Официальное опубликование правовых актов
ОФИЦИАЛЬНОЕ ОПУБЛИКОВАНИЕ
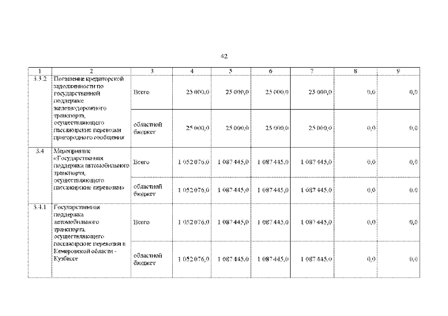
Постановление Правительства Кемеровской области - Кузбасса от 09.09.2020 № 560
"О внесении изменений в постановление Коллегии Администрации Кемеровской области от 24.09.2013 № 405 "Об утверждении государственной программы Кемеровской области – Кузбасса "Оптимизация развития транспорта и связи Кузбасса" на 2014-2024 годы"
Номер опубликования: 4200202009110005
Дата опубликования: 11.09.2020
Страница №42 из 63:
Увеличить