Официальное опубликование правовых актов
ОФИЦИАЛЬНОЕ ОПУБЛИКОВАНИЕ
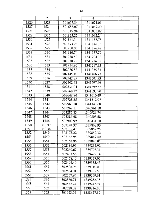
Закон Кемеровской области - Кузбасса от 16.11.2020 № 127-ОЗ "О внесении изменений в приложение 1 к Закону Кемеровской области "О статусе и границах муниципальных образований" в части уточнения картографического и дополнения координатного описаний местоположения границы Беловского городского округа"
Номер опубликования: 4200202011180001
Дата опубликования: 18.11.2020
Страница №64 из 80:
Увеличить