Официальное опубликование правовых актов
ОФИЦИАЛЬНОЕ ОПУБЛИКОВАНИЕ
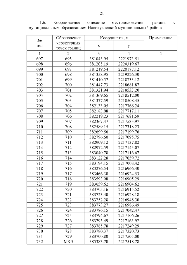
Закон Кемеровской области - Кузбасса от 16.11.2020 № 128-ОЗ "О внесении изменений в приложение 3 к Закону Кемеровской области "О статусе и границах муниципальных образований" в части уточнения картографического и дополнения координатного описаний местоположения границы Таштагольского муниципального района"
Номер опубликования: 4200202011180007
Дата опубликования: 18.11.2020
Страница №21 из 475: