Официальное опубликование правовых актов
ОФИЦИАЛЬНОЕ ОПУБЛИКОВАНИЕ
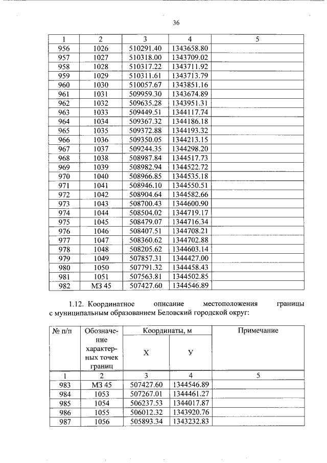
Закон Кемеровской области - Кузбасса от 08.12.2020 № 138-ОЗ "О внесении изменений в приложение 1-1 к Закону Кемеровской области "О статусе и границах муниципальных образований" в части уточнения картографического и дополнения координатного описаний местоположения границы Гурьевского муниципального округа"
Номер опубликования: 4200202012140010
Дата опубликования: 14.12.2020
Страница №36 из 53:
Увеличить