Официальное опубликование правовых актов
ОФИЦИАЛЬНОЕ ОПУБЛИКОВАНИЕ
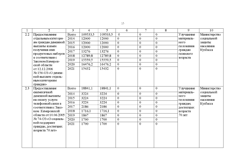
Постановление Правительства Кемеровской области - Кузбасса от 14.12.2020 № 741
"О внесении изменений в постановление Коллегии Администрации Кемеровской области от 26.12.2013 № 602 "Об утверждении комплексной региональной социальной программы "Повышение качества жизни пожилых людей в Кемеровской области" на 2014 - 2021 годы ("Кузбасское долголетие")"
Номер опубликования: 4200202012180002
Дата опубликования: 18.12.2020
Страница №15 из 83:
Увеличить