Официальное опубликование правовых актов
ОФИЦИАЛЬНОЕ ОПУБЛИКОВАНИЕ
Постановление Правительства Кемеровской области - Кузбасса от 29.12.2020 № 798
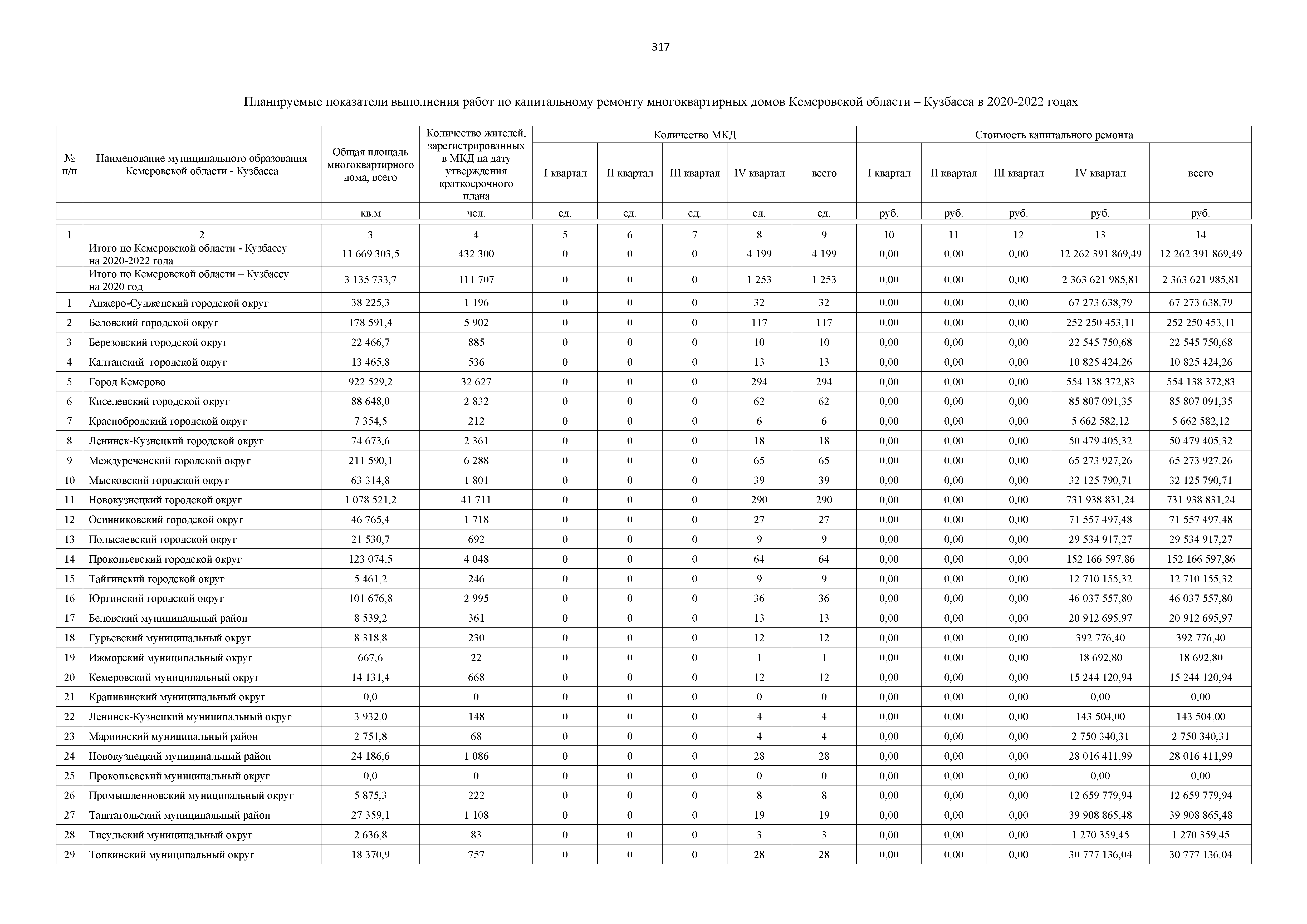
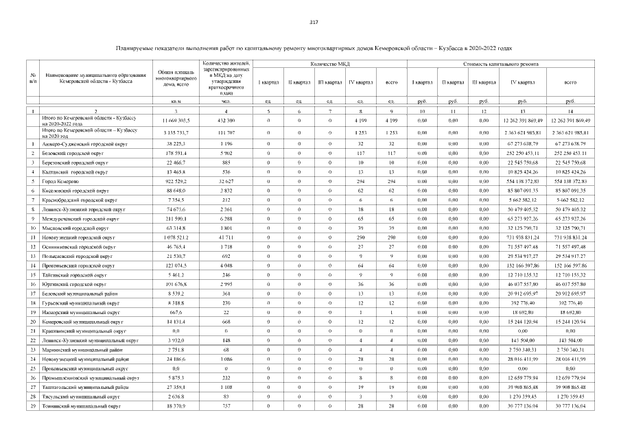
"О внесении изменений в постановление Правительства Кемеровской области — Кузбасса от 28.10.2019 № 625 "Об утверждении краткосрочного плана реализации региональной программы капитального ремонта общего имущества в многоквартирных домах Кемеровской области - Кузбасса на 2014 - 2043 годы на 2020 - 2022 годы"
Номер опубликования: 4200202012300001
Дата опубликования: 30.12.2020
Страница №317 из 319: