Официальное опубликование правовых актов
ОФИЦИАЛЬНОЕ ОПУБЛИКОВАНИЕ
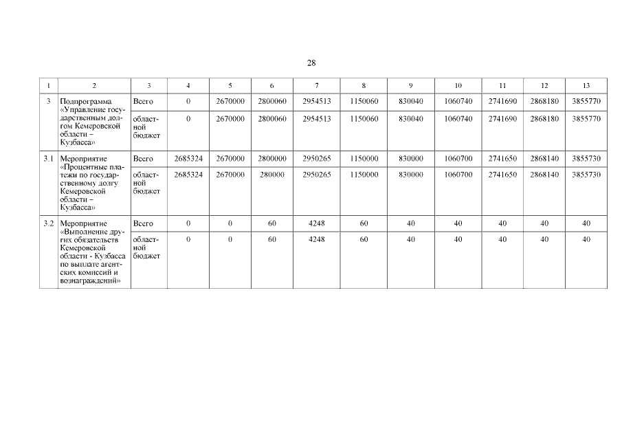
Постановление Правительства Кемеровской области - Кузбасса от 22.03.2021 № 120
"О внесении изменений в постановление Коллегии Администрации Кемеровской области от 08.10.2013 № 421 "Об утверждении государственной программы Кемеровской области – Кузбасса "Управление государственными финансами Кузбасса" на 2014 – 2023 годы"
Номер опубликования: 4200202103260007
Дата опубликования: 26.03.2021
Страница №28 из 41:
Увеличить