Официальное опубликование правовых актов
ОФИЦИАЛЬНОЕ ОПУБЛИКОВАНИЕ
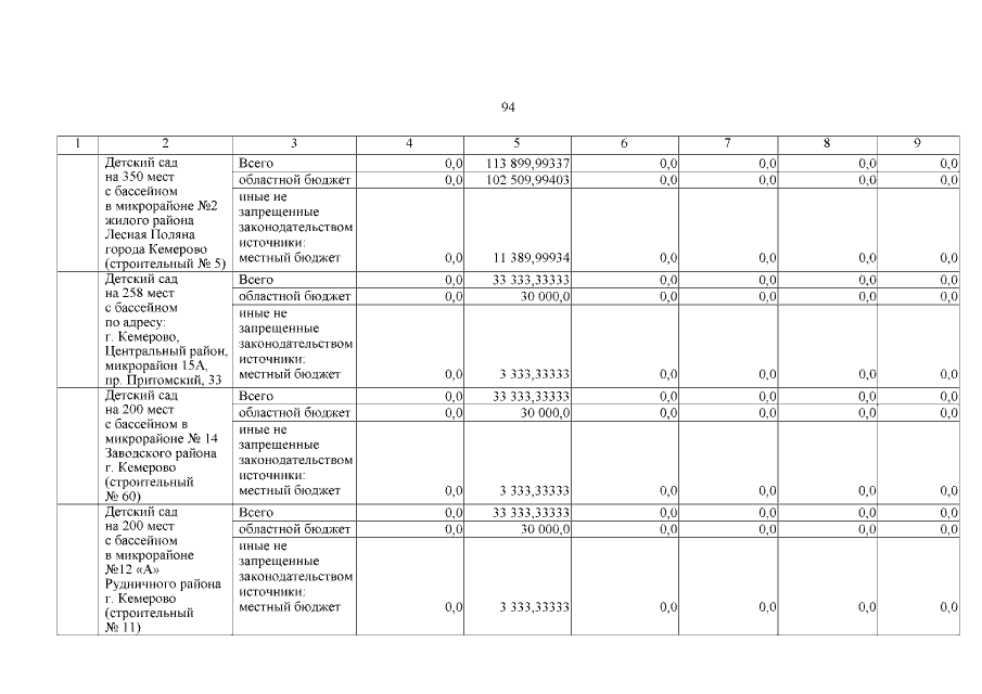
Постановление Правительства Кемеровской области - Кузбасса от 24.03.2021 № 140
"О внесении изменений в постановление Коллегии Администрации Кемеровской области от 25.10.2013 № 461 "Об утверждении государственной программы Кемеровской области - Кузбасса "Жилищная и социальная инфраструктура Кузбасса" на 2014-2024 годы"
Номер опубликования: 4200202104010006
Дата опубликования: 01.04.2021
Страница №94 из 198:
Увеличить